地 址:上海市金山區興塔工業區
咨詢電話:021-57362601
圖文傳真:021-33250343
電子郵箱:hanyuev@126.com
網 址:http://m.shanghaijq.com
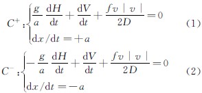
壓力波動預止閥能有效抑制泵后閥門關閥后的高壓水錘,那么什么是水錘現象?水錘計算方法是什么?
在有壓力管路中,由于某種外界原因(如閥門突然關閉、水泵機組突然停車)使水的流速突然發生變化,從而引起壓強急劇升高和降低的交替變化,這種水力現象稱為水擊或水錘。
水錘基本方程是由運動方程和連續性方程組成的一組非線性雙曲線偏微分方程,對此組合方程的直接求解非常困難,可采用求取雙曲線偏微分方程的特征值進行求解。在特征值的約束下使偏微分方程轉化為常微分方程:
式中,g為當地重力加速度;a為水錘波速;H為測壓管水頭;t為時間;V、v均為流速;f為管道摩阻參數;D為管徑;x為位置坐標。
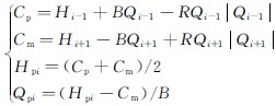
根據特征線進行積分,由式(1)、(2)進行有限差分近似,得到對應于圖1網格。圖1中,Δx為網格管段長度;A為管道斷面積;數值計算時采用經過簡化的差分方程格式:
圖1水錘計算特征線網格
其中B=a/(gA);R=fΔx/(2gDA2)
式中,Cp、Cm均為特征線方程的已知常數;B為管道的特性常數;R為管道的摩阻特性常數;Qi-1、Qi+1分別為斷面i-1、i+1的流量;Hi-1、Hi+1分別為斷面i-1、i+1的測壓管水頭;Hpi、Qpi分別為斷面i的測壓管水頭和流量。
我們主要生產:排氣閥|排泥閥|水力控制閥|倒流防止器|防污隔斷閥|排污閥|管道過濾器Copyright ? 2008-2023 上海汗越閥門有限公司版權所有?? 滬ICP備16021408號-1
地 址:上海市金山區興塔工業區??手 機:13816357694??電 話:021-57362601??傳 真:021-33250343