地 址:上海市金山區興塔工業區
咨詢電話:021-57362601
圖文傳真:021-33250343
電子郵箱:hanyuev@126.com
網 址:http://m.shanghaijq.com
在測試的各個階段,對軟密封閘閥進行了解體檢測;同時按照 GB/T13927-1992《通用閥門壓力試驗》的要求,對閥門進行了密封性測試。根據檢測的結果,總結如下:
1、軟密封閘閥閥體的密封面完好,沒有任何摩擦損傷。
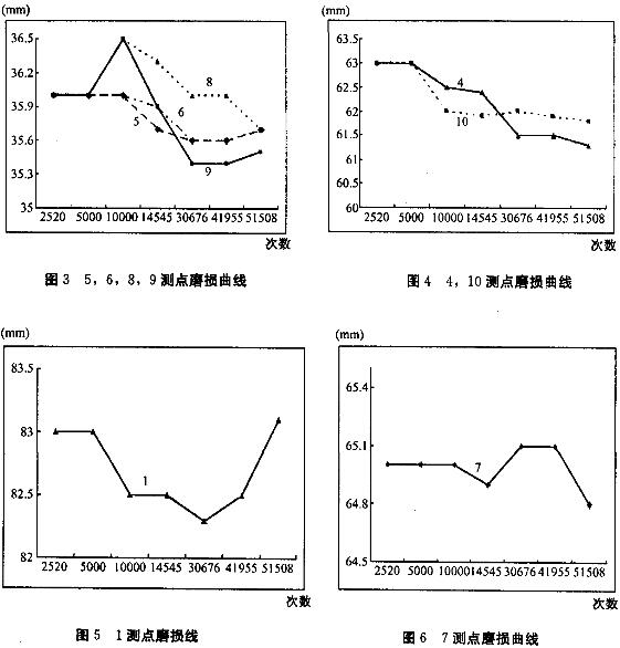
2、軟密封閘閥閥板從外表來看與閥體接觸的密封面有輕微的擦痕。此擦痕在運行1萬次開始出現,到,3萬次時發展較快,3萬次到5萬次之間發展較平緩。
3、閥板從圓周劃分的12點來看,磨損基本對稱,表明閥板在閥體中受力基本均勻。2點和12點厚度尺寸變化較小,這兩點的受力較小;3點和11點厚度尺寸變化有所增加;4點和10點的變化最大(1.7mm和1.2mm),證明此處的受力最大;5、6點和8、9點的變化較小,此處由側向接觸轉為正壓接觸。
4、盡管閥板有磨損,但通過密封性試驗,其性能仍能完全達到GB/T 13927-1992的要求。
5、從閥桿、絲套及其他傳動部位的尺寸檢測,均未見明顯磨損。
6、目前,靜壓壽命試驗已達到51508次,遠遠超過JB /T 53162-1999《閘閥產品質量分等》軟密封閘閥優等品靜壓壽命試驗次數(4000次),隨著測試的持續進行,該測試啟閉次數仍在繼續增加。
我們主要生產:排氣閥|排泥閥|水力控制閥|倒流防止器|防污隔斷閥|排污閥|管道過濾器Copyright ? 2008-2023 上海汗越閥門有限公司版權所有?? 滬ICP備16021408號-1
地 址:上海市金山區興塔工業區??手 機:13816357694??電 話:021-57362601??傳 真:021-33250343