地 址:上海市金山區興塔工業區
咨詢電話:021-57362601
圖文傳真:021-33250343
電子郵箱:hanyuev@126.com
網 址:http://m.shanghaijq.com
目前尚無現成的壓力波動預止閥計算模型可供選用,需要根據其工作原理構建相應的計算模 型。壓力波動預止閥與普通閥門的主要區別在于管道內首次出現壓力下降時便打開,讓返回的水錘波不再受止回閥的阻擋,順暢地排放到外界,以消除高壓水錘。據此,參考普通閥門的計算模型,可建立壓力波動預止閥的模型,如圖1所示。圖中Q為流量;①②代表不同的管號;N,NS,1,2,為管道內節點;Δx1,Δx2為不同管道的節點間距;Δt為時間步長;C+,C-分別為正特征線和負特征線。
圖1壓力波動預止閥計算模型
瞬變流情況下,當條件滿足式(1),壓力波動預止閥便開啟動作。
式中:x為開啟設定壓力系數,0<x<1
定常流情況下,可寫出通過閥門孔口方程為
式中:Q0為定常狀態下的流量;H0為定常狀態下的損失壓頭;(CdAG)0為閥門流量系數乘以開啟面積。
對于其他開度下,有
式中:ΔH是通過閥門時的壓頭降。
定義量綱一的閥門開度為
對于正方向流動,孔口方程為
考慮壓力管道的相容性方程為
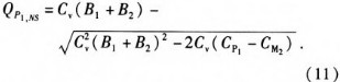
聯立方程(4),(5),(6),得
對于負方向流動,孔口方程為
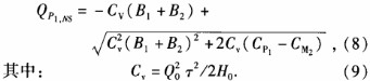
聯立方程(6),(7),(10),得
求解出流量Q后,代入相容性方程便可求解出壓力頭H。
上述計算模型可加入到HAMMER,PIPE,FIow-master等商用水錘分析軟件或自編程序中使用。
版權所有,如需轉載請注明出處!由于篇幅有限,如若你需要對壓力波動預止閥了解更多詳細情況歡迎來電咨詢!我們將為您提供最優質的咨詢服務,咨詢手機:13816357694。也可登錄我公司網站:http://m.shanghaijq.com/水力控制閥,查看產品詳細介紹。
我們主要生產:排氣閥|排泥閥|水力控制閥|倒流防止器|防污隔斷閥|排污閥|管道過濾器Copyright ? 2008-2023 上海汗越閥門有限公司版權所有?? 滬ICP備16021408號-1
地 址:上海市金山區興塔工業區??手 機:13816357694??電 話:021-57362601??傳 真:021-33250343