地 址:上海市金山區興塔工業區
咨詢電話:021-57362601
圖文傳真:021-33250343
電子郵箱:hanyuev@126.com
網 址:http://m.shanghaijq.com
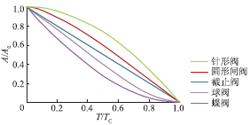
壓力波動預止閥的關閉特性是指調節閥門的關閉曲線形狀,常見的有如圖1所示的5種曲線類型,圖中T/TC為關閉時間/關閉歷時,A/A0為閥門開啟面積/閥門全開面積。從曲線的變化趨勢可發現,蝶閥、球閥代表的閥門曲線類型是閥門關閉時的面積減少率隨著關閉時間的增長而逐漸減小,即為減速關閉曲線類型;針形閥、圓形閘閥代表的閥門曲線類型是閥門關閉時的面積減少率隨著關閉時間的增長而逐漸增大,即為加速關閉曲線類型;截止閥代表的閥門曲線類型是閥門關閉時的面積減少率不隨關閉時間變化,即為常速關閉曲線類型。
圖1 壓力波動預止閥的關閉曲線類型
壓力波動預止閥關閉特性對水錘的影響
經過試算,采用壓力波動預止閥進行水錘防護時確定的相關工作參數:開啟壓力為0.5倍穩態壓力,開啟時間為24s,維持開啟時間為6s;關閉時間為180s。在此條件下,文中將重點研究壓力波動預止閥的關閉特性對水錘防護效果的影響。
壓力波動預止閥在不同關閉特性條件下的計算結果如圖2,3和表1所示。其中,圖5為通過壓力波動預止閥的流量曲線,圖中Q為流量,t為時間。圖3為泵站出口壓力變化,圖中P為壓力;表1為系統壓力極值的計算結果,表中Pmax為系統最高壓力極值,Pmin為系統最低壓力極值,Pc為承壓標準。
圖2 壓力波動預止閥關閉特性對流量變化的影響
圖3 壓力波動預止閥關閉特性對泵站出口壓力影響
表1 壓力波動預止閥關閉特性對水錘影響
圖2的計算結果表明,壓力波動預止閥在感應到首次壓降時打開,在全開狀態并選擇針形閥曲線類型時達到最大外泄量2.56m3/s。對比圖1壓力波動預止調節閥曲線的關閉類型和圖2的流量變化可知,壓力波動預止閥關閉過程中,通過閥門流量的減少率接近于閥門開啟面積的減少率,這說明通過閥門的流量與閥門的開啟面積成正比。
圖3的計算結果表明,壓力波動預止閥開啟過程中,因外泄高壓水使得泵站出口壓力由穩態壓力141.61m迅速減小至最小壓力19.90m;隨著壓力波動預止閥關閉,泵站出口壓力有所上升,并且蝶閥形式的關閉曲線相比其他曲線類型最先趨于穩定,引起的最大壓力最小,其值為166.15m。這是由于閥門接近全關時,蝶閥形式的關閉曲線為減速關閉類型,所形成的流量減少率逐漸減小,從而降低了關閥水錘壓力。
通過表1系統極值的統計情況還發現,當壓力波動預止閥的關閉曲線形式由針形閥、圓形閘閥、截止閥、球閥至蝶閥變化,即曲線類型由加速關閉曲線、常速關閉曲線,至減速關閉曲線變化時,整個輸水系統最高壓力極值有減小的趨勢,而系統最低壓力極值有上升的趨勢。并且,使用壓力波動預止閥后均可使系統最高壓力防護到承壓標準范圍內,最低壓力防護在汽化壓力以上。由于閥門關閉過程中,易發生關閥水錘,所以應注意閥門關閉為緩關,即壓力波動預止閥關閉過程中,閥門開啟面積的減少率要不斷減小。因此,當壓力波動預止閥的關閉特性選為減速關閉曲線類型時,泵站輸水系統的最高壓力和最低壓力防護效果最為明顯。
我們主要生產:排氣閥|排泥閥|水力控制閥|倒流防止器|防污隔斷閥|排污閥|管道過濾器Copyright ? 2008-2023 上海汗越閥門有限公司版權所有?? 滬ICP備16021408號-1
地 址:上海市金山區興塔工業區??手 機:13816357694??電 話:021-57362601??傳 真:021-33250343